CUỘC ĐUA CỦA AI ĐANG NÓNG LÊN
CÙNG LÚC ĐÓ, 'MẮT' CỦA CHATGPT ĐƯỢC PHÁT HIỆN TRONG MÃ BETA
Chào mừng các tín đồ AI!
Chỉ trong vài tháng sau khi OpenAI làm dậy sóng thế giới AI với các bản cập nhật đột phá, một phòng thí nghiệm từ Trung Quốc đã tung ra mô hình được đánh giá ngang ngửa với ChatGPT, đồng thời công bố kết quả nghiên cứu theo hướng minh bạch. Điểm đặc biệt là nguồn lực này có thể trở thành mã nguồn mở, làm thay đổi hoàn toàn cuộc chơi công nghệ AI.
Đây có thể là lời thách thức rõ ràng tới những "ông lớn" AI tại Mỹ như OpenAI?
BẢN TIN HÔM NAY CÓ GÌ?
DeepSeek ra mắt AI lập luận mạnh mẽ: Một bước tiến mới trong khả năng suy luận của AI.
Tính năng tạo hình ảnh bằng AI của ChatGPT sắp được tích hợp.
Video không giới hạn – Công nghệ AI mới giúp mở rộng khả năng sáng tạo video.
DeepMind phá vỡ rào cản lượng tử – AI tiến sâu hơn vào giải quyết các bài toán phức tạp.
Giới thiệu 5 công cụ AI mới
TIN TỨC MỚI NHẤT
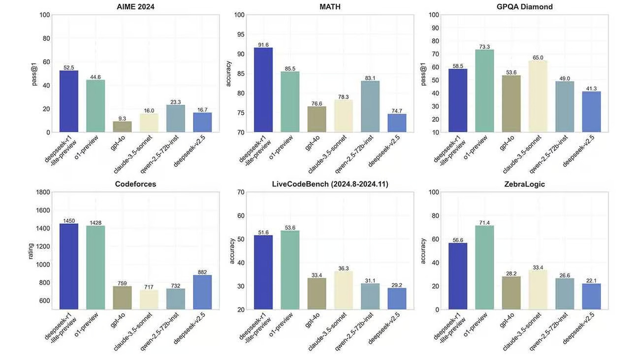
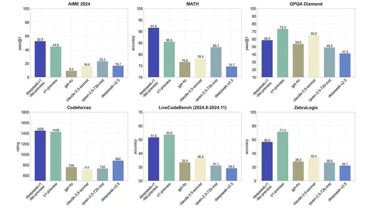
🤖DEEPSEEK RA MẮT AI LẬP LUẬN MẠNH MẼ
Nguồn hình ảnh: DeepSeek
DeepSeek tung “át chủ bài” R1-Lite-Preview, đối đầu OpenAI!
DeepSeek – phòng thí nghiệm AI hàng đầu Trung Quốc – vừa trình làng R1-Lite-Preview, một mô hình AI lập luận cực kỳ mạnh mẽ. Điều gì khiến mô hình này đặc biệt? Khả năng hiển thị quá trình tư duy chuỗi trong thời gian thực, được đánh giá sánh ngang với OpenAI o1. Liệu đây có phải là cú hích lớn khiến cuộc đua AI ngày càng gay cấn hơn?
R1-Lite-Preview của DeepSeek mang đến trải nghiệm đột phá khi hiển thị toàn bộ quá trình tư duy chuỗi trong thời gian thực, khác biệt hoàn toàn so với các tóm tắt ngắn gọn của o1.
Các tiêu chuẩn ban đầu ngang ngửa với OpenAI o1-preview trên các tiêu chuẩn như AIME và MATH với hiệu suất cải thiện khi chiều dài tư duy tăng lên.
Trải nghiệm mô hình này qua DeepSeek Chat: miễn phí cho tính năng cơ bản, và chỉ giới hạn 50 tin nhắn/ngày với tính năng lập luận cao cấp.
DeepSeek đang đặt cược lớn khi tuyên bố mã nguồn mở R1 trong tương lai – một bước đi có thể thay đổi cuộc chơi.
Với hạ tầng 50,000 chip H100, DeepSeek giờ đây là đối thủ đáng gờm của những ông lớn AI tại phương Tây.
Tại sao điều này quan trọng: Hai tháng sau cú nổ lớn của OpenAI o1, DeepSeek đã tạo nên một cột mốc mới trong lập luận AI với R1-Lite-Preview. Quan trọng hơn, ý định mã nguồn mở mô hình này không chỉ cho thấy tham vọng của Trung Quốc trong ngành AI mà còn đặt các phòng thí nghiệm AI Mỹ trước một thách thức lớn. Liệu đây có phải là khởi đầu của một cuộc cách mạng sáng tạo toàn cầu, hay là tín hiệu thay đổi trật tự quyền lực trong lĩnh vực AI?
HUBSPOT🔨XÂY DỰNG DOANH NGHIỆP AI TỪ CON SỐ 0
Bạn muốn xây dựng doanh nghiệp từ đầu bằng AI nhưng không biết bắt đầu từ đâu? Tham gia cùng Matt Wolfe và Nathan Lands khi họ tiết lộ chiến lược đột phá giúp biến những ý tưởng AI thành hiện thực. Họ sẽ chia sẻ những bí quyết và bản thiết kế đầy sáng tạo để giúp bạn nhanh chóng đưa sản phẩm AI ra thị trường. Đừng bỏ lỡ cơ hội học hỏi từ những chuyên gia hàng đầu!
Những công cụ AI đột phá giúp bạn xây dựng doanh nghiệp nhanh chóng và hiệu quả.
Chắc chắn bạn sẽ bất ngờ với phương pháp tạo các bản tin hấp dẫn chỉ trong vài phút nhờ vào AI.
Hãy tận dụng tối đa sự kết hợp ngữ cảnh để nâng cao khả năng sáng tạo và tối ưu hóa công việc.
Kết hợp tốc độ của AI với sự sáng tạo không giới hạn thông qua các avatar, phân tích cảm xúc và nhiều công cụ khác sẽ là chìa khóa để bạn đạt được thành công.
OPENAI 👁️ AI HÌNH ẢNH CỦA CHATGPT ĐANG GẦN RA MẮT HƠN
Nguồn hình ảnh: OpenAI
Một bước đột phá trong công nghệ AI đang đến gần! Mã mới được phát hiện trong beta của ChatGPT cho thấy OpenAI có thể sắp ra mắt tính năng camera trực tiếp, mang đến một khả năng vô cùng ấn tượng. Tính năng này có thể kết hợp hình ảnh với chế độ giọng nói nâng cao của trợ lý AI, tạo ra một trải nghiệm người dùng chưa từng có và mở ra một tương lai đầy hứa hẹn.
Mã beta tiết lộ một tính năng "Camera Trực Tiếp" cho phép ChatGPT phân tích và thảo luận về môi trường xung quanh của người dùng trong thời gian thực.
Được giới thiệu lần đầu vào tháng 5, công nghệ này cho thấy khả năng ấn tượng, như nhận dạng đối tượng và tham gia vào các cuộc trò chuyện tự nhiên về đầu vào hình ảnh.
Tính năng này trước đó đã xuất hiện trong thử nghiệm alpha giới hạn, với một số người dùng báo cáo truy cập ngắn trong các thử nghiệm Chế Độ Giọng Nói Nâng Cao.
Sự ra mắt tiềm năng của OpenAI diễn ra trước dự án tương tự của Google Project Astra, được giới thiệu tại Google I/O, tiếp tục mẫu phát hành cạnh tranh của các ông lớn AI.
Tại sao điều này quan trọng: Năm 2025 sẽ chứng kiến sự chuyển mình mạnh mẽ của công nghệ AI với các tác nhân đa phương tiện đầy đủ. Các mô hình AI sẽ có khả năng nhìn thấy, tham gia và hành động theo cách tự nhiên và trực quan hơn. Trong khi trợ lý giọng nói AI đã bắt đầu thu hút sự chú ý, việc kết hợp chúng với khả năng "mắt" sẽ mang đến một trải nghiệm mới, thay đổi hoàn toàn cách chúng ta tương tác với công nghệ.
ĐÀO TẠO AI🎬TẠO BẤT KỲ VIDEO NÀO DÀI HƠN VỚI AI
Biến các đoạn video ngắn thành nội dung dài hơn bằng cách sử dụng AI để tạo phần mở rộng liền mạch cho đoạn phim của bạn.
Hướng dẫn:
Chụp ảnh màn hình của khung hình cuối cùng của video làm hình ảnh tham khảo.
Tải lên hình ảnh chụp màn hình vào máy tạo video Kling AI trong phần "Image to Video".
Viết một đoạn mô tả cách bạn muốn video tiếp tục.
Kết hợp video gốc của bạn với phần mở rộng do AI tạo ra bằng trình chỉnh sửa video như CapCut.
Mẹo chuyên nghiệp: Để đạt được kết quả tự nhiên nhất, hãy đảm bảo rằng hình ảnh tham khảo có chất lượng cao. Đồng thời, đoạn mô tả cần trình bày rõ ràng động tác hoặc hành động mong muốn để AI hiểu và tái tạo chính xác.
DỰ BÁO NĂM 2025 CỦA SCOTT GALLOWAY
20,000 người đã bị cuốn hút bởi dự đoán năm 2024 của giáo sư NYU, Scott Galloway. Năm nay, ông ấy trở lại với một tầm nhìn sắc bén hơn cho năm 2025. Liệu bạn đã sẵn sàng khám phá những xu hướng đột phá của năm tới?
Tham gia Scott và Section vào ngày 12 tháng 12 để nghe:
Những gì Scott đã đúng (và sai) vào năm 2024
Những dự đoán lớn nhất của ông về AI, kinh doanh, công nghệ và nhiều hơn nữa
Những nhận định thô thực, chưa qua chỉnh sửa về hướng đi của thế giới
GOOGLE DEEPMIND 🧠AI CỦA DEEPMIND SỬA LỖI TÍNH TOÁN LƯỢNG TỬ
Nguồn hình ảnh: Google
Google DeepMind đã viết nên một chương mới trong lịch sử lượng tử với AlphaQubit – hệ thống AI không chỉ phát hiện mà còn sửa lỗi lượng tử, mở đường cho ứng dụng công nghệ tương lai vào đời sống!
AlphaQubit lập kỷ lục mới trong việc phát hiện lỗi, giảm tỷ lệ lỗi tới 6% so với các phương pháp hàng đầu trước đó và 30% so với các phương pháp chuẩn.
Quy trình đào tạo hai bước cho phép hệ thống học từ dữ liệu mô phỏng trước khi thích ứng để xử lý các lỗi phức tạp trong phần cứng lượng tử thực.
Mặc dù được đào tạo trên các chuỗi chỉ có 25 hoạt động, hệ thống vẫn duy trì sự chính xác cho hơn 100,000 – cho thấy khả năng hứa hẹn cho việc tính toán lượng tử.
Google dự định mã nguồn mở AlphaQuibit, cho phép cộng đồng nghiên cứu rộng hơn xây dựng dựa trên các tiến bộ đã đạt được.
Tại sao điều này quan trọng: AlphaQubit đang phá vỡ rào cản lớn nhất của máy tính lượng tử – duy trì sự ổn định để giải quyết các bài toán thực tế.
Từ phát hiện thuốc đến mô hình khí hậu, từ chuỗi cung ứng đến những lĩnh vực còn chưa được khai phá, nghiên cứu của DeepMind đã mở ra cánh cửa cho tương lai của công nghệ lượng tử.
CÔNG CỤ AI NỔI BẬT
📱Postiz - Công cụ lên lịch mạng xã hội AI để đăng, phân tích hiệu suất và quản lý tài khoản tất cả trong một nơi.
🗣️ Adobe Podcast Enhance Speech v2 - Công cụ AI để cải thiện chất lượng âm thanh, loại bỏ tiếng ồn xung quanh và tăng cường độ rõ của giọng nói
🧠Dokko - Nền tảng AI đối thoại chia sẻ kiến thức
📖ReadPartner - Trợ lý AI cá nhân cho bản tóm tắt tin tức tự động và tóm tắt nhanh các trang web, video và tài liệu
📊PaperGen - Văn bản dài dạng có tham khảo đầy đủ, tạo biểu đồ chỉ với một cú nhấp chuột
TIN TỨC NHANH
OpenAI đã phát hành phiên bản cập nhật của GPT-4o với khả năng viết sáng tạo được cải thiện và phân tích tệp tốt hơn, với mô hình được tiết lộ là 'chatbot ẩn danh' và giành lại vị trí hàng đầu trên bảng xếp hạng Chatbot Arena.
Writer đã giới thiệu một kiến trúc mô hình tự phát triển mới, cho phép học theo thời gian thực và khả năng LLM hoạt động hiệu quả hơn mà không cần đào tạo thêm.
Anthropic đã công bố nghiên cứu đề xuất một khuôn khổ thống kê để đánh giá mô hình AI nhằm đo lường và so sánh chính xác hơn các khả năng của mô hình ngôn ngữ ngoài điểm chuẩn đơn giản.
Meta đã triển khai các tính năng mới cho Messenger, bao gồm hình nền cuộc gọi video do AI tạo ra, khả năng gọi HD và các tính năng khử tiếng ồn thông minh.
Niantic đã tiết lộ kế hoạch cho một mô hình AI được đào tạo trên hàng triệu bản quét điện thoại thông minh do người chơi gửi từ các trò chơi Pokemon Go và Ingress của mình, nhằm mục đích tạo ra một hệ thống hiểu và điều hướng không gian vật lý.
OpenAI và Common Sense Media đã ra mắt khóa học ChatGPT miễn phí nhằm giúp giáo viên K-12 hiểu và áp dụng AI trong lớp học.
KẾT LUẬN
Trong bản tin hôm nay, điều gì khiến bạn thấy phấn khích hoặc ngạc nhiên nhất? Chia sẻ của bạn chính là nguồn cảm hứng để chúng tôi mang đến nhiều nội dung đột phá hơn, giúp bạn luôn dẫn đầu xu hướng công nghệ!







